एमीन: Difference between revisions

From Vidyalayawiki

No edit summary
No edit summary
 
(One intermediate revision by the same user not shown)
Line 1: Line 1:
[[Category:ऐमीन]][[Category:रसायन विज्ञान]][[Category:कक्षा-12]][[Category:कार्बनिक रसायन]]
[[Category:ऐमीन]][[Category:रसायन विज्ञान]][[Category:कक्षा-12]][[Category:कार्बनिक रसायन]]
ऐमीन को अमोनिया के एक, दो अथवा तीनों हाइड्रोजन परमाणुओं को एल्किल और एरिल समूहों द्वारा विस्थापित करने पर प्राप्त हुए व्युत्पन्न के रूप में मन जा सकता है।  
ऐमीन को अमोनिया के एक, दो अथवा तीनों [[हाइड्रोजन]] परमाणुओं को एल्किल और एरिल समूहों द्वारा विस्थापित करने पर प्राप्त हुए व्युत्पन्न के रूप में मन जा सकता है।  


=== उदाहरण ===
=== उदाहरण ===
<chem>CH3NH2, C6H5NH2, CH3-NH-CH3, CH3-N(CH3)2</chem>
<chem>CH3NH2, C6H5NH2, CH3-NH-CH3, CH3-N(CH3)2</chem>


अमोनिया की भाँति, एमीन का नाइट्रोजन परमाणु त्रिसंयोजी है एवं इस पर एक असहभाजित इलेक्ट्रॉन युगल है। एमीन में नाइट्रोजन के कक्षक sp<sup>3</sup> संकरित होते है, तथा एमीन की आकृति पिरैमिडी होती है। 
अमोनिया की भाँति, एमीन का नाइट्रोजन [[परमाणु]] त्रिसंयोजी है एवं इस पर एक असहभाजित इलेक्ट्रॉन युगल है। एमीन में नाइट्रोजन के कक्षक sp<sup>3</sup> संकरित होते है, तथा एमीन की आकृति पिरैमिडी होती है। 


== वर्गीकरण ==
== वर्गीकरण ==
अमोनिया अणु में एल्किल अथवा एरिल समूहों के प्रतिस्थापित हाइड्रोजन परमाणु द्वारा एमीनों का वर्गीकरण प्राथमिक, द्वितीयक तथा तृतीयक एमीन में किया जाता है।   
अमोनिया अणु में एल्किल अथवा एरिल समूहों के प्रतिस्थापित [[हाइड्रोजन]] परमाणु द्वारा एमीनों का वर्गीकरण प्राथमिक, द्वितीयक तथा तृतीयक एमीन में किया जाता है।   


<chem>NH3 -> RNH2 -> N(R)2-H -> N(R)3</chem>   
<chem>NH3 -> RNH2 -> N(R)2-H -> N(R)3</chem>   
Line 14: Line 14:
== ऐमीनों का विरचन ==
== ऐमीनों का विरचन ==
ऐमीनों का विरचन निम्न - लिखित विधियों से किया जाता है।
ऐमीनों का विरचन निम्न - लिखित विधियों से किया जाता है।
=== नाइट्राइल का अपचयन ===
नाइट्राइल लीथियम ऐलुमिनियम हाइड्राइड अथवा उत्प्रेरकी हाइड्रोजन द्वारा अपचयित करने पर प्राथमिक ऐमीन बनाते हैं।
<chem>R-C=N ->[H2/Ni] R-CH2-NH2</chem>
=== ऐमाइडों का अपचयन ===
ऐमाइड लीथियम एलुमीनियम हाइड्राइड द्वारा अपचयित होकर ऐमीन देते हैं।
<chem>R-CO-NH2 ->[LiAlH2, H2O] R-CH2-NH2</chem>
=== गैब्रिएल थैलिमाइड संश्लेषण ===
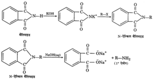
[[File:गेब्रियल थैलिमाइड संश्लेषण.png|thumb|गैब्रिएल थैलिमाइड संश्लेषण]]
गैब्रिएल संश्लेषण का प्रयोग प्राथमिक ऐमीन के विरचन के लिए किया जाता है। थैलिमाइड एथेनॉलिक पोटैशियम हाइड्रॉक्साइड से अभिक्रिया द्वारा थैलिमाइड का पोटैशियम लवण बनाता है जो ऐल्किल हैलाइड के साथ गर्म करने के बाद क्षारीय जल-अपघटन द्वारा संगत प्राथमिक ऐमीन उत्पन्न करता है। ऐरोमैटिक प्राथमिक ऐमीन इस विधि से नहीं बनाई जा सकती क्योंकि ऐरिल हैलाइड थैलिमाइड से प्राप्त ऋणायन के साथ नाभिकरागी प्रतिस्थापन अभिक्रिया नहीं कर सकते।
=== हॉफमान ब्रोमाइड अभिक्रिया ===
हॉफमान ने प्राथमिक ऐमीनों के विरचन के लिए एक अभिक्रिया दी जिसे हॉफमान ब्रोमामाइड अभिक्रिया कहते हैं। जब किसी ऐमाइड की के जलीय अथवा एल्कोहॉलिक विलयन की ब्रोमीन से अभिक्रिया कराते हैं तो ऐमीन प्राप्त होता है।
<chem>RCO-NH2 + Br2 + 4NaOH -> R-NH2 + Na2CO3 + 2NaBr + 2H2O</chem>                                                                                                                                                         
==अभ्यास प्रश्न==
*गैब्रिएल थैलिमाइड संश्लेषण क्या है ?
*थैलिमाइड का सूत्र बताइये।

Latest revision as of 18:01, 30 May 2024

ऐमीन को अमोनिया के एक, दो अथवा तीनों हाइड्रोजन परमाणुओं को एल्किल और एरिल समूहों द्वारा विस्थापित करने पर प्राप्त हुए व्युत्पन्न के रूप में मन जा सकता है।

उदाहरण

अमोनिया की भाँति, एमीन का नाइट्रोजन परमाणु त्रिसंयोजी है एवं इस पर एक असहभाजित इलेक्ट्रॉन युगल है। एमीन में नाइट्रोजन के कक्षक sp3 संकरित होते है, तथा एमीन की आकृति पिरैमिडी होती है। 

वर्गीकरण

अमोनिया अणु में एल्किल अथवा एरिल समूहों के प्रतिस्थापित हाइड्रोजन परमाणु द्वारा एमीनों का वर्गीकरण प्राथमिक, द्वितीयक तथा तृतीयक एमीन में किया जाता है। 

 

ऐमीनों का विरचन

ऐमीनों का विरचन निम्न - लिखित विधियों से किया जाता है।

नाइट्राइल का अपचयन

नाइट्राइल लीथियम ऐलुमिनियम हाइड्राइड अथवा उत्प्रेरकी हाइड्रोजन द्वारा अपचयित करने पर प्राथमिक ऐमीन बनाते हैं।

ऐमाइडों का अपचयन

ऐमाइड लीथियम एलुमीनियम हाइड्राइड द्वारा अपचयित होकर ऐमीन देते हैं।

गैब्रिएल थैलिमाइड संश्लेषण

गैब्रिएल थैलिमाइड संश्लेषण

गैब्रिएल संश्लेषण का प्रयोग प्राथमिक ऐमीन के विरचन के लिए किया जाता है। थैलिमाइड एथेनॉलिक पोटैशियम हाइड्रॉक्साइड से अभिक्रिया द्वारा थैलिमाइड का पोटैशियम लवण बनाता है जो ऐल्किल हैलाइड के साथ गर्म करने के बाद क्षारीय जल-अपघटन द्वारा संगत प्राथमिक ऐमीन उत्पन्न करता है। ऐरोमैटिक प्राथमिक ऐमीन इस विधि से नहीं बनाई जा सकती क्योंकि ऐरिल हैलाइड थैलिमाइड से प्राप्त ऋणायन के साथ नाभिकरागी प्रतिस्थापन अभिक्रिया नहीं कर सकते।

हॉफमान ब्रोमाइड अभिक्रिया

हॉफमान ने प्राथमिक ऐमीनों के विरचन के लिए एक अभिक्रिया दी जिसे हॉफमान ब्रोमामाइड अभिक्रिया कहते हैं। जब किसी ऐमाइड की के जलीय अथवा एल्कोहॉलिक विलयन की ब्रोमीन से अभिक्रिया कराते हैं तो ऐमीन प्राप्त होता है।

अभ्यास प्रश्न

  • गैब्रिएल थैलिमाइड संश्लेषण क्या है ?
  • थैलिमाइड का सूत्र बताइये।